
Excerpt from the book,
“America’s Slide into Domestic Terrorism”
part of the series,
A Technology Monogram for Law Enforcement
by James C. Lyman
Concept of Macro Organism
Mono Organisms
Macro Organisms
The Human Race
Epochs of Warfare
Tribal Epoch
Classical Epoch
Modern Epoch
Human Culture and Conflict
The Components of Conflict
Competition for Resources
Stressed Environment
Precursor Events
Precipitant Event
Measurements of Conflict
Accelerants of Conflict
Social Mitosis and Civil Wars
Technology and War
Some Important Threads in the Fabric of Society
Contributor to Society
Adversity
Social Conformity
Fear of the Unknown
Kinship
Bibliography
Now to bring everything together into a coherent picture, we will need to gain a basic understanding of war. Although everyone thinks they understand war, like most other technical subjects, most people have only the most superficial understanding. What is war? Quite simply, war is human conflict. The basic principles and dynamics of an acrimonious divorce are fundamentally the same as with warring nations.
So why should we study the theory of war? To some people, this might seem like some kind of obscenity, giving legitimacy to something they find detestable and repugnant like war. However, like any other pandemic, if you ever hope to control it, you must understand it. War is no different a pandemic than bubonic plague. No amount of political demonstrations, activism, praying, making anti plague (war) statements in movies, or carefully avoiding any aspects of war (the ostrich approach to problem solving) will prevent the ravages of bubonic plage on humanity. You have to grit your teeth and wade in to study it. You have to work with the dead bodies, do the autopsies, stomach the gross sights and smells, grow the cultures in petri dishes and then spend countless hours with repugnant smells looking through a microscope, while writing copious notes. Until you do the hard boring work of study and research, you can’t understand the disease, and so you can’t control and prevent the disease.
It’s the same with war– until you study and know it, you’ll contribute absolutely nothing to bringing it under control. And that’s the reason we take the time in this chapter to study war.
1) Concept of Macro Organism -
One concept we will need to better understand war, is the concept of a macro organism versus a mono organism. In the animal kingdom, there are two basic strategies which an organism can use to gain complexity, thereby better to exploit its environment to the species advantage. The first is to physically evolve into a more complex organism, from a single cell organism, to a multi cell organism . . . from a flat worm to a grasshopper to a cat. These we will term a mono organism, since they are stand alone as individuals. The other strategy is to gain complexity by banding together where several of the same species of organisms act together as a singularity for the benefit of the whole, which we’ll term as macro organisms. Ants, bees and wasps are well-known examples . . . and so are we as we will explore in this section.
But first, I should take a moment to make a statement about evolution to all those readers who are getting upset about me believing in evolution. First, I don’t . . . I mean I try not to believe, because belief is really a criteria for acceptance of truth. It’s the most common criteria for acceptance of truth, for most people, it’s the only one they have– but it’s not the criteria used in science and technology. In my jungle (science and technology), as soon as you say “I believe” your hypnotists is rejected. Second, I refer the reader to Jacob Bronowski’s “The Ascent of Man”, where he says 2\ p20 “. . . man from age to age has remade his environment, is a different kind of evolution– not biological, but cultural evolution.” If you look to bone, teeth, brain cavity and body to see the evolution of man, you will completely miss it. As we shall soon see, man is a macro organism and his evolution is now his very dynamic culture.
Mono Organisms: By mono we mean an organism that largely functions as a singularity, which is how we think of any and all organisms. While the more advance organism may well have a social structure, even a highly-developed structure, the organism isn’t principally, first and foremost, a component of that social structure.
The simplest example of mono organisms is the mirid of single cell organisms where life started, the microbes, bacteria and algae that are largely unseen, but completely fill every corner of the world we live in. Each is a distinct individual which lives its life cycle completely on its own. A microbe doesn’t depend on another microbe to feed, reproduce or grow. It lives all on its own, not even needing another microbe to reproduce.
As single cells came together to form new more advanced organisms, individual cells began to specialize and perform specific functions. In this specialization process the organism became more sophisticated able to do more things better. In becoming more sophisticated, the organism is more able to find food, while protecting itself from other organism.
Becoming more complex and sophisticated also met that an organism could more readily change physically to exploit a new food source, to fight off a new predator, or to better adapt to a new change in its environment. The ability to quickly changed in turn accelerated organisms becoming more complex. This process feeds upon itself to create an explosion of complexity in the animal kingdom that in a rather short time, left a profusion of very sophisticated animals. But all changes to a species was accomplished by physically changing the structure of that species. For most organisms, their social interaction has very little to nothing do with increasing their complexity.
Basic strategy for mono organisms to increase their complexity, is to physically change themselves, to acquire new more specialize body parts. Brain cells that show some sensitivity to light growing into a cluster of cells that are more sensitive to light, thus allowing an organism to sense shadows and light. And to move into or out of lighted areas, if it provides an advantage to the organism. These sensitive cells further develop to not only sense light and shadow, but to detect rapid changes from the shadows of prey or predators allowing movements or acts of protection. Increasing the number of light-sensitive cells and curving in shape allows forming a crude image, which is further enhanced with the addition of a lens. Finally, the cells can also become sensitive to motion, either horizontally and/or vertically, frequency of light (color), light amplification (night vision) and even sensitivity to lines. If you haven’t guessed yet, we are talking about eyes, which come in a wide variety of complexity, capability and effectiveness.
There are countless examples of how the bodies of animals have specialized to perfectly fit some aspect of its environment, to perfectly match acquiring some food source like a hand fitting into a glove. Nature looks like some finely made watch where everything is designed and built exactly like it is for the whole system to work correctly. The strategy of the mono organism has worked marvelously, but a limit was reached which organisms were never able to break through. They reached a plateau and could go no further. As the environment would change, new food sources would become available, while old ones faded away, animals quickly refitted themselves and remained perfectly fitted. However, it became the same old song played with different instruments. Different looking animals, but with the same degree of complexity.
Macro Organisms: The macro organism uses the second strategy of increasing complexity, by using a number of simpler organisms working together to act as a common entity. A very common example of macro organism strategy is the social insects like the ants, terminates, bees and wasps. Note– there are examples in these four classes of insects that are not social, in particular with the wasps.
We think of individual ants as some sort of slave to the queen and colony, but these individual ants are no more slaves than the individual cells are in your body. Although they appear as individuals, in fact, they can’t exist by themselves (except in hit cartoon movies) any more than a cell from your blood, bone or liver can. All our cells depend, that is, are interdependent on all the other cells in the body for existence.
Just as our cells have developed into specialized cells such as muscle, stomach, bone and blood, ants have also developed into specialized ants doing one specific task in the colony. For instance, the queen isn’t the ruler of the colony, rather it is just the reproductive organ. In a typical colony you have soldier ants (immune system), food gathering ants (digestive track), grubs and nursery ants (growth system), tunneling ants (muscle and claws), food storage (fat) and scout ants (senses– eyes, touch, smell). For all the ants to survive, the colony must have these specialized ants.
Like our cells in our bodies, individual ants (cells) are continuously created, function over some time period to die out and be replaced again. It’s a continuous process in our bodies that we’re aren’t aware of, it just happens. And like our bodies, when the colony isn’t able to replace ants (cells) it dies off. The colony is a macro organism where the real organism is the sum of all the individual ants, not the individual ants we see on first glance. Like any other organism, the ant macro organism has a life cycle. Its birth is when the queen flies from the nest she was born in, mates and digs a small nest. Eggs are laid, hatched and the grubs raised using the queen’s fat reserves. If the queen survives until the grubs are adult ants, they start the process of bringing food into the queen and newly young, while expanding the nest into a vast network of tunnels. At some time, the queen dies, and as the other ants naturally die, they are not replaced so the nest (macro organism) also dies. The cycle is completed.
The other insect macro organism, such as bees and termites, has the same basic structure and life cycle as the ants, although they may have some differences in the specialization of individuals. Nevertheless, they are parts of a macro organism, which they must be a part of to propagate and survive. While not as sophisticated as the other social insects discussed above, the social wasps are very much macro organisms, also requiring the macro organism of a colony in order to survive and propagate.
The Human Race: Human beings are also very social creatures, but not in the sense of the social insects. We do not have people who have specific physical characteristics to perform tasks as ants do. Jacob Bronowski said that humans were unique because we adapt to our environment by changing our behavior . . . social behavior. We can look at the recent history of computers and see strong parallels. Computers date back to the Roman Empire times, who used a wheeled-gear device to measure distances of roadways. A small cart had wheels with a known circumference (distance), that was connected to a gear train (scaling counter) that operated a small release door. As the wheels rolled a specific distance, the turning gears counted the number of times the wheel have turned, and then releases a small pebble into a bin. When the surveyor arrived at the destination, he counted the pebbles and knew the distance between points on a road.
This simple device, an early version of the odometer in your car that measures distance, is a simple computer. It has an input (turning wheels), a calculation (scaling and counting of gears), and an output (pebbles or numbers on odometer), which is what a computer is. The odometer is the classical example used to explain the basics of a computer. But you may have difficulty relating your concept of a computer (your desktop or laptop) with this example of a computer, and that difficulty is programming. Where is the program in an odometer? It’s the gear ratios that scale the input to the output and allows counting the wheel rotation to give distance traveled. You change the program by changing the gear ratios. That’s an important characteristic of a mechanical computer.
Programing the mechanical computers requires going to a machine shop, using lathes and mills to machine new gears, possibly make modifications to the chassis of the mechanical computer, then reinstall the gears to complete reprogramming of the computer. Furthermore, the changes that you can make are limited by the design of the mechanical computer . . . in other words, if the change goes too far, you have to scrap the design and start all over. Sounds familiar? Jacob Bronowski’s saying animals physically adapt to their environment? That’s right, all the other animals are hardware designed systems like the mechanical computer.
What we think and call a computer has the ability to quickly change. What made the first real computer that started this revolution in our world, is the stored programmable computer first designed and built by Eckert and Mauchly 12: as the EDVAC (August 1949). The EDVAC evolved into the UINVAC I computer. The stored-programmable computer is where the computer revolution started, because with this machine, a program is written and translated into a set of instructions, then loaded into the electronic memory to transform the machine into a new machine. While ENIAC and COLOSSUS are known as the first electronic computers, they still used switches and patch cords to be programmed, which are still hardware changes, easy as it may be. The stored-program computer is what completed the modern electronic computer we all think of when we say computer. The stored-program computer is where computers moved from the realm of hardware to software.
Being able to very quickly change a machine by changing software vastly accelerated the evolution process of machines. If you look at the two centuries of machine development from the start of the industrial revolution to the end of World War II, then look at the first thirty years of the stored-program computer, you quickly see how fast technology grows with machines that are inside electronic circuits. The evolution of software-based systems is much faster and extensive than hardware-based systems. And while development of machines has reached a plateau, software continues to advance at a blinding speed that is almost incomprehensible.
So just how does this fit into humans as macro organisms? Because, as Jacob Bronowski said, we adapt to our environment by changing our behavior. Hardware versus software . . . human behavior that is culture, is a software system. Like the store-program computers, it’s easy to quickly change and adapt to new facets of our environment . . . to exploit new opportunities as quickly as they become apparent. And hominids have been VERY successful using that strategy. That’s why we’ve come to dominate the planet and all its other species. That’s why we’ve advanced to a point that the level we’ve reached is incomprehensible compared with any other species.
The human race accomplished this feat of advancement by developing a communal knowledge base, where individuals continually exchanged and shared bits of knowledge, and the young depended on the older members to provide knowhow and advice so they didn’t individually have to reinvent the wheel on everything. They were not spending their time rediscovering everything for themselves, instead they now have time to build on the old knowledge to advance the communal knowledge base and thereby advance humanity.
To do this calls for language so the communal knowledge can be easily shared amongst the members. Language and the communal knowledge base in turn became the bases of culture. The definition of culture from the dictionary is:
“Integrated pattern of human knowledge, belief, and behavior that is both a result of and integral to the human capacity for learning and transmitting knowledge to succeeding generations.”10:
This is exactly what we are talking about, and this is what makes the human animal a software based design compared to the hardware base of all the other animals. Like the software based electronic computer designs, the human design can very quickly “rewrite” its software to adapt to a new facet in its environment. In other words, we change our behavior . . . change our culture to adapt ourselves . . . and we can do that unbelievably quickly. That’s why we humans have left the other animals so far behind.
If you look across history, it’s been a continual struggle of societies to evolve toward the optimal society that humanity dreams of. And slowly, with halting and stumbling steps, we have suffered through the pains of learning and bit by bit humanity has inched its way up closer to that ideal. Come a long way, but still got a long way to go.
For store-program computers, the machine is in the software. The same with humans, the creature is in the software or culture. And like software, culture is continually changing, never static, and the principle forcing function of that change is technology. Technology does not mean everything that baffles, puzzles, confounds and perplexes you. Technology is the sum of all the knowledge and means used to bring substance and comfort to humanity. From taking a rock of flint and flaking it into a stone arrowhead to the latest advances of medial, genetic and computer technology . . . and everything in between. All make up what we call technology.
Just as a new food source in the environment of the animal kingdom causes some animals to change or adapt to exploit that new food source, the same happens with a new advancement in technology. The advent of a new technology, such as the mouldboard 7\ p63 on the plow that revolutionized European agriculture in the sixth century, causes a change in our behavior . . . our culture to make the best use of a new technology for the benefit of society.
Technology is thus the skeleton of human culture, it is what a culture is built upon to flesh out that skeleton, for technology is embodied by the communal knowledge base unique to humanity. It’s this communal knowledge base that brings individual people together and binds them together into a unity, a macro organism.
Figure 12 Composite CultureThis in turn defines a group of people by their culture. This has become particularly apparent with the technologies of mass media and mass marketing.
We tend to want to define a people by the borders of their country, an insatiate able desire to put everything into neat little in boxes, when in fact nations often have a number of cultures which overlap to give a national culture that is often assumed to be one homogeneous culture. This is represented by a Venn diagram in Figure 12, Composite Culture, which shows how several different cultures overlap to give a composite culture where the subculture A thru E largely encompass the same values, interest, technologies and objectives, yet there are others elements of culture which some don’t include. On first look, the composite culture appears as just a single culture, only on closer inspection do the small differences become apparent.
The same holds true with the culture of most nations. At first look, everyone looks about the same, has the same basic manners, language, the same basic possessions . . . the same basic everyday lives. Only when we start to look a little closer, take a longer more detail look, do we start to see the differences. The differences in beliefs, objectives in lives, churches and organizations they belong too, activities and entertainment, the schools they went to, all the little different things that are used to group us. These are the little things that are represented by the fringe areas of the diagrams (A thru E) which are not shared by one or more areas. These non concurrent fringe areas are what makes the different subculture. Later, we shall see how external forces can pull the borders of these areas apart to make larger areas that are not concurrent. People and their subculture become polarized.
As you might have guessed, there are some characteristics of our communal knowledge base over and above tying a group of people together as a unity. The individuals must form some sort of network that allows new information to be continually added to the communal base and in turn access information. In our modern world of libraries, data bases, computers and the internet, this communal network is no longer apparent, but we still do this maintenance process of communal knowledge almost every day of our lives. From when we are infants to when we are dead or too infirm to do it.
We often think that humans don’t have any real instincts as we see in virtually ever other animal. Not true! Our instinct is language and maintaining our communal knowledge base, and we do that by socializing. That’s right, all that talking and gossiping we continually do whenever we are with other people. We can’t help it . . . it’s more than just a very pleasant past time, or even a passion– it’s one of our basic needs, like eating or sleeping.
In our socializing, our continual talking with others and listening to what they say, we are in fact continually exchanging information, knowledge, from one person to another. That’s what forms the communal knowledge base, a number of human minds linked into a network by the simple process of talking . . . and exchanging knowledge. A continual process of adding and accessing information from this network, with new minds being added while time deletes others.
Of course, almost all of this information exchange is trivial nonsense of no apparent value to society, but every once in a while, some small nugget of knowledge is inserted into the network, and then spreads throughout. A new way to hold flint while you flake the arrow head’s point. Mixing two different crushed berries together to make a tastier dish. This is the secret of mankind’s rapid and extensive advancement.
The addition of knowledge, plus the tendency of bits of knowledge to come together to synthesize new knowledge, causes the macro organism to change its collective behavior, and that’s a change in culture. As you might expect, the more new knowledge added, the faster that culture changes. That’s why technology is the skeleton of a culture. Knowledge is the forcing function of cultural change.
Before the advent of the printed media as a mass media communications technology (Gutenberg’s moveable type printing press) in 1452, the elders in a society were held in high esteem 9\ p92 by others members of society, simply because they were the community’s main repository of knowledge. Without any other means to store readily available information, the young very much needed them for their years of accumulated knowledge and experience.
As with any other organism, a macro organism will vary in size and it’s no different for humans. The size of a community (human macro organism) is a function of communications, for the knowledge network can only extend as far as knowledge can be exchange. In societies where people range no further than they can walk in a day and return (about 7 miles typical), very distinct societies and cultures will develop. In just 50 miles, spoken dialects are often so different, that people from one area can’t speak to another. Since the nodes (individuals) of a network (communal knowledge) is linked together via the socializing of people, it’s only natural that the size of a communal knowledge-based organism is restricted to the limit with which the individuals are communicating.
As communications technology advanced beyond simple face to face talking by people, the range with which people communicated extended so the size of the macro organism (culture) expanded. When America first gained its independence, people identified largely with the town or village they lived in, and to a lesser extent the state they lived in. By the Civil War, people’s loyalties were to their states, with little toward the United States as a nation. Communications were just expanding beyond the borders of individual states by trains (letters, magazines and newspapers) and the telegraph. Other technologies became available with the start of the 20th century– telephone, radio, aviation and finally television. Each again expanded the range of communications and further unified America into a singularity. The same process occurred across Europe as a system of modern nations was formed. Nationalism became prevalent and the norm, indeed it wasn’t until the mid 19th century that nationalism appeared in western countries.
The human macro organism is more than just a communal-based knowledge system. A human macro organism also has emotions, wants, desires, hates, can act in unison for a common purpose . . . it can even experience panic . . . mass hysteria. Whatever is found in an individual human can also be found in a human macro organism, although in a simpler more primitive form.
The “mob behavior” or mentality of a human macro organism is what interest us in the arena of warfare. It’s the macro organisms that wages war not the individuals. Just as with human conflict between individuals, conflict between macro organisms also has the same collective emotions as individuals do. Fears, reservations, apprehensions . . . and of course– hate. All the emotions that we find in an individual human, can be found in a human macro organism, although at a less sophisticated level.
Like any other organism, the human macro organism has a hierarchy of needs. In his book 13\ p142-3, Richard M. White relates Joan Thall’s priority of labor unions as:
1) Union’s Survival
2) Union’s Growth
3) Union’s Profit
4) Union’s Power
And on to also included union’s members benefits, its public image and finally some concern about a company’s viability. If you think about it, these are the same goals found in just about any organization– from massive government agencies and global corporations, to PTAs and church organizations, from the most profit driven business to the most charitable operation, you see these same goals, although in different order. These goals of an organization look much like the hierarchy of needs for any organism. Just like all other organisms, the human macro organism has these basic needs and is expressed as:
1) self preservation avoid being destroyed or absorbed
2) propagate itself grow in size or number of people
3) reward itself give management rewards
4) sustain itself obtain resources (money)
5) perform tasks do the things the group was setup to do
Again, the order of these needs may be different, but they are all there. Paramount is the need for self preservation, which is evident with government organizations that continue to operate long after the need for setting them up has passed. One problem with these needs for government organizations, there aren’t any external forces or pressures to do their assigned jobs, their performance lags as the organization becomes absorbed in itself with the other needs. The classic shuffling and circulating paper around the organization and seemingly getting little to nothing done. The macro organism becomes absorbed in the methods instead of the results. In the business word, there is the external force of competition that keeps the organization focused on what it was set up to do. The simple axiom of “take care of your customers or someone else will” prevent business organizations from becoming static and ineffective . . . or surviving if they don’t.
Macro organism is why we say that war is human conflict, and the basic principles are, for the most part, the same for individuals as for war between nations.
2) Epochs of Warfare -
Through the ages, war has been a part of mankind. Even the most casual observer can see there are different types of wars. The mass battles of World War II, guerrilla bush wars in Africa, Roman Legions marching in mass toward other lines of men, or Indians attacking the wagon train on TV. Each completely different, yet in many ways similar . . . people killing other people, that’s what we usually see and think of when we hear the word war.
Actually, there have been three classes or epochs of warfare. These epochs are defined by such things as the source of subsistence for a warring people, the level of their technology sophistication and the physical size of a society or macro organism. These characteristics define what a warring people can do and what their objectives are.
Tribal Epoch: This first and most primitive epoch is the wars between tribal groups. This epoch can still be seen in its original form in remote areas such as New Guinea wilds. Just like the movies, small bands of males use primitive weapons like spears, clubs and bows with arrows to attack and defend. The reason or objective for warring is to protect their territory. Like many other animals, the size of their territory is the ability to feed themselves. When encroached by another species which eats the same food, others go hungry and some die. An everyday example, that we’ve all experience, is the chirping of birds, that fills the air on a summer day. The birds aren’t singing just to make our lives less dreary, rather that’s their way to mark out and defend their territory, to force out others (same and different species) who feed on the same type of food as they do. If they can’t keep their territory large enough, then they have less to eat, and in going hungry, the changes of their offspring surviving to reproduce is reduce. Good incentive for having a little war now and then.
The exact same thing holds true for a tribe, except their low reproduction rate means a tribe can’t afford to kill and be killed, which is exactly why the birds don’t kill each other too. Only when technology increases the survival rate, can humans afford the whole sale slaughter of each other. Like the birds, the warriors use things like exhibitions or demonstrations of courage and aggressiveness to define and hold their territory. For the North American Indians, a common way to display courage was counting coup 31\ p31,p41, where instead of killing an enemy, you reached out and touched him . . . and of course, lived to tell your tale. Another strategy to discourage intrusions was to horribly torture individual intruders captured. For the plains Indians, this was usually a treat given to the women and children 31\ p29. Needless to say, while being killed is a good reason to stay out of someone’s territory, spending several days in agonizing pain until dying is an even better one.
The tribal warfare is fought by individuals in a loose gang. There isn’t the rigid organizations, formations and discipline that we think of in any army. They come as a rabble, and often after a lot of posturing with screams, yelling, fierce expression and dancing, attack by pairing off with individuals of the opposition to fight as individuals . . . as true warriors. Unlike the movies, there wasn’t the whole sale slaughter and killing, because even if a tribe won, it just couldn’t sustain heavy losses for very long.
Another characteristic of the tribal epoch of warfare is their method of sustenance or acquiring food. For a hunter-gatherer, even with primitive agriculture, the process of acquiring food for the tribe leaves little extra time for waging war. Tribal societies just don’t have the resources to conduct vigorous wars. Most of the war skills used by the warriors are skills used in hunting, so there is little effort devoted to training.
The epoch of tribal warfare is by far the longest epoch going back long before recorded history. Since so little history has been written, there has been little study by the military arts. Indeed, in terms of practical knowledge applicable to the modern battlefield, there isn’t a compelling reason for study.
Classical Epoch: The next epoch of war is classical war where warfare became organized. The force multiplier is the ability of Roman legion style of fighting, although fragments of history shows classical warfare came well before 1600 BC, where soldiers were placed in rigorously organized formations, and with brutal discipline moved as a single entity. This is where the idea of a macro organism comes into sharp focus. Winning met not having that organized block of humanity breaking up into individuals, for when the discipline was lost, the opposition would crush the mob of humanity. Fear from the regimentation of discipline had to out weigh the fear of death and injury.
The organization and discipline of soldiers allowed groups of soldiers to be moved and maneuvered as a single entity, which in turn could move to complement other similar units. This maneuvering ability drastically increased the need for tactics and commanders who were skill and knowledgeable in implementing tactics. Having superior tactics could allow a smaller force to persevere over a larger force. The military arts became a specialized endeavor which was studied in detail.
Classical warfare is subdivided into two broad categories, this first was Early Classical where edge weapons such as swords, spears and arrows were used. Mass formations were maneuvered to approach enemy formations, close upon them, then engage in hand to hand combat. The objective of each force was to cause the opposition to break formation, so their command cohesion was lost and they disintegrated into a mass of individuals which would then be defeated in detail. The other subdivision was the Contemporary Classical warfare which used the new gun technology for weapons, but besides now fighting with some amount of separation, it was little different from battle with edged weapons.
The objective of Early Classical and Contemporary Classical warfare remained the same. Concentrate your force and apply it in a manner to shatter the opposition’s organization, to break units into individuals so the opposition lost its force multiplier. Whichever side broke formation and lost its organization, was the looser . . . sort of like playing a large scale game of chicken. The difference in weapon technology did bring some changes in tactics, but still it was all about discipline and moral. This is where moral of the troops became so very important, for if moral was low, then breaking a unit’s organization would be just that much easier.
Firearm and cannon technology had the effect of spreading armies out over larger areas, so communications became a problem. The use of flags and bugles became ineffective over the greater distances, and armies grappled for new methods to control individual units from a distance. This inability to communicate became a source of defeat as reinforcements couldn’t be brought into play soon enough, for the commander didn’t become aware of critical situations in enough time to take counter measures by maneuvering other units into support positions. The fog of war, where commanders were unaware of aspects and events of the battle field.
The fog of war is the principal difference between the Early Classical and Contemporary Classical epochs of war. Early Classical war had smaller compact battlefields allowing one individual to control an army, so the need for highly skilled unit commanders was not required. The principal responsibility of unit commanders was discipline– to make sure the discipline of his unit was maintained in battle and his unit didn’t become panicked and disintegrate into a mob of individuals. Often, the unit commander’s principal skill was to be bigger, meaner, nastier and more brutal than the men underneath him, that troops were more afraid of him than the enemy. No matter how fearful they were of the approaching enemy, they were more afraid of their commander and so stood in place. Of course, this is when killing the commander was so devastating to the unit, when losing the commander met the unit promptly broke and ran.
With the battlefield becoming larger and more spread out in the Contemporary Classical epoch, the need for commanders who had smarts grew. Individual unit commanders needed to know and be skilled in tactics, plus be able to take the initiative in times when isolated on the battlefield by the fog of war. Other than the expansion of the battlefield, there isn’t any real difference between the Early and Contemporary Classical epoch. The consequence of this expansion (number of men and area) was that greater numbers of men were killed, but it wasn’t so much the gun technology that caused it, but this expansion of the battle field and the fog of war.
It’s not really known just when the Tribal epoch of warfare morphed into the Classical epoch, since this was before recorded history . . . just a bit fuzzy! But we have seen the process repeated in near history. The Zulu warriors in 19th century South Africa was in transition from Tribal to Classical epochs. The Zulus had their men divided into units, but they didn’t have the rigid formations of men lined side by side in rows. Nevertheless, they were able to maneuver these units and had developed sophisticated tactics like their classical bull formation for doing a double envelopment, which is one of the most difficult maneuvers to preform even today.
Like the Tribal epoch the Classical epoch needs to feed itself, and like the Tribal, armies in the Classical epoch didn’t have the means to carry its own food. Armies of the Classical epoch had to forage for food, so they would send parties out to scour the land for miles around to seize food supplies from the local population. That’s where famine of the Four Horsemen of the Apocalypse came from. An army would pass through the landscape, and like locusts, would consume all food to leave the populous to face famine.
The army would bring their own weapons and equipment on the march, and once having left their homeland, no longer depended on them for further support and supplies. Communications (transportation) was just too tedious to be a significant factor in support, even for the late Roman legions with the road system of the Roman empire. This dependence on the land is what makes the Classical epoch different from the Modern, in that armies had to spend an inordinate amount of time supplying itself, and so could only fight for short periods of time. There couldn’t be battles lasting days on end, let alone weeks and months.
Modern Epoch: The support from the homeland is what differentiates the Modern epoch from the Classical. Modern wars are fought from factories, with the first modern war being the American Civil war, which came just after America had established an extensive communications network of railroads and river boats. The casualties of that war were immense and unprecedented as a result of armies being able to fight for weeks on end. Food and supplies produced in factories, were placed on trains to be quickly and efficiently carried to points near the warring armies. Now the distance was short enough that horse drawn wagons could be used to carry the supplies the remaining distance.
For almost all of recorded history, the Classical epoch of warfare has been waged, with the Modern epoch only covering the last century and a half. Modern warfare is industrial warfare, as evident by scales of destruction and wholesale killing that would have been unimaginable for people before this era, except as an act of God. Industrial warfare has had the secondary effect of dropping the real value and worth of individual humans to almost nothing. As with factories with their increasing automation, the soldier has become as interchangeable as the factory worker. Almost anyone can quickly be trained to be a soldier, giving nations an almost inexhaustible supply of soldiers. No longer were years required to create a warrior as with the Tribal and Classical epochs, for now soldiers could be produce in just a few months, just as a factory produces the guns for them to use.
A Corollary of War
Modern wars are fought and won or lost in the factories
Waging a modern war means attacking and destroying the means to manufacture war material. Although ground forces must still go in to finish the job of complete subjection of another nation, the manufacturing must be destroyed, otherwise the cost in ground forces will be too high. A nation’s true military power is in fact its manufacturing base, something America would do well to take note.
Manufacturing means not just factories to make the finished weapons and munitions, but the thousands of smaller factories needed to feed the mirid of parts to the major factories. For instance, a manufacturer of a modern jet fighter needs 20,000 to 30,000 small factories to make all the parts for that jet fighter. Therefore, destroying the main factories will not significantly inhibit a nation’s ability to wage war. The whole network of manufacturing must be attacked and destroyed. A very important component in the manufacturing network, as you might have guessed, is oil, so this also means a concerted effort to destroy a nation’s oil, fuels and petrochemical network.
A Corollary of War
In modern wars a nation wins by destroying another.
This corollary, in a nut shell, explains World War II. Both Germany and Japan had to be utterly destroyed (Italy was more of a proxy for Germany to fight the war through) in order for the Allies to win the war. In later wars, such as Korea, Vietnam and the Middle East, where political considerations and war by proxy prevented the true war making ability to be destroyed, you can see the problems that resulted. The wars deteriorated into stagnation where resolving to stay the course was the only recourse. Today, we are still at war with North Korea simply because we were unable to “destroy the nation”, since the nation was really the Soviet Union. Korea was a war by proxy between the Soviet Union and the United States and her allies.
One point to note is the obsession with modern military planners in trying to destroy the morale of the enemy. This is very apparent in the study of air power advocates in the first half of the 20th century. The theory was often advanced that by using mass aerial bombing on an enemy nation’s population, it would destroy the morale and will the of the people to fight, thus the nation’s leaders would be forced to seek peace. This isn’t the only time that morale of the enemy has been considered an important target worthy of attacking to defeat an enemy. However, with both Japan and German in World War II, despite massive bombing and subsequent total destruction of their cities, their morale remained intact.
Planners were not aware of the power of modern mass media technologies and how it could be used to counter the effects of war and keep morale propped up until the very end. Russia had pioneered the use of mass media technologies to control and manipulate the people to the will of the state. As the Nazis came into power, they scrupulously studied the Russian’s methodology of establishing a modern totalitarian state, including using mass media technologies to greatest effect. These lessons were also absorbed by other totalitarian states such as Japan, Italy and Spain. The same power of mass media used to prop up and control their people, was also very effectively applied to counter the terror of mass bombing and war.
Today, the immense power of the mass media technologies still isn’t really appreciated or understood. I remember at the end of the first Gulf War, when the press was reporting the hopes of the military and state department that with Saddam Hussain weakened,
Figure 13 Probability of Conflicthe would succumb to an insurrection or at least a coup and be overthrown. Knowing my history, I instantly knew what a pipedream that was. As long as a totalitarian state has control of the mass media, an insurrection is almost impossible.
One final comment about the epochs of war. The reader may have questions about guerrilla wars and insurrections in the 20th century. Most, if not all of these wars of liberation are more akin to the first epoch (Tribal) pitted against the third epoch (Modern) warfare. In a real modern insurrection the objective is to substitute a provisional government for the government in power, instead of destroying a nation. The reader is again referred to “A Brief Overview of Modern Insurrection and Revolutionary Methodology” 5: of this monogram series to better understand the specifics of modern insurrections.
3) Human Culture and Conflict -
Why do we fight? Whether as individuals or as human macro organisms, why is it we fight and war? Just how does something none of us really want ever get started? Looking about most would notice that conflicts occur when we are different, that is, when the warring parties are different people. The more different we are, the more likely we are to fight . . . at least, most of the time. We also can see times when we are different, but are still able to get along OK without sliding into conflict. Sometimes there seems to be something that keeps us from fighting, even when we are very much different.
We are, of course, dealing with a probabilistic system whenever we discuss any human affairs, which means we shouldn’t look for hard and fast rules or laws. The question is really, what is the probability that we will fight. If we are very similar, then the probability is very low (probability ranges from 0 to 1), and likewise the more different we are the more likely it is we will have conflict. If we could quantify or measure the degree of difference between people or human macro organisms, we could express this probability of conflict as the solid line labeled “Difference” in, Figure 13, Probability of Conflict. The horizontal scale is the measure of the difference between two people (either individual or macro), with the intersection of the axis on the left being zero difference, and increasing difference going to the right on the horizontal axis. The difference between a group of people or human macro organisms would actually be the difference in culture, the increasing of culture difference as we move to the right of the axis.
The probability of conflict erupting is represented on the vertical axis labeled “Probability of Conflict” and ranges from 0 to 1 by the definition of probability. Notice that the probability is small for small differences in culture, increases gradually as the difference increases (moving right), but then suddenly starts increasing at a much faster rate as the difference continues to expand. Since the maximum probability is 1, and can never actually reach that value in real world probabilistic systems, the last part of the curve slopes back down as it approaches the asyomtope of 1. We would expect an “S” shaped curve for this function.
The curve tells us that for small differences, there is little chance of conflict erupting, but then we reach a point where conflict becomes serious and the probability of conflict becomes significant, finally as the cultural difference becomes large, the conflict becomes almost certain. However, there are examples where people have a very large difference in culture, yet they are able to live and work together without conflict. Something is acting as a counterpoise to nullify the effect of cultural difference, and I propose that the interdependence between those people is what counters the cultural difference.
Figure 14 Effect of Decrease InteractionAgain looking at figure 13, the dashed line marked “Dependency” is a mirror reflection of the solid line “Difference”. Like the “Difference” we assume, for the purpose of demonstration, a means to quantify or measure the degree of interdependency between people or human macro organisms, and superimpose its scale on the horizontal axis with the Difference scale. Looking at the Dependency curve, the probability of conflict decreases as the interdependence increases. This acts as the counterpoise to nullify the cultural difference. As the cultural difference increases, the probability of conflict erupting goes up, however, if there is significant interdependence, then that probability will be reduced, leaving a lower probability of conflict. As might be expected, the greater the interdependency, the more the probability of conflict is reduced.
Note that the interdependency must be mutual for both groups. If the dependency is just one way, that is, if just one group is dependent on another, then the counterpoise effect doesn’t occur. The environment is more akin to a master-slave situation, where there is little to keep the master group from inflicting penalty on the slave group. Increasing interdependence is a strategy used in American foreign policy. Extending trade is an attempt, either consciously or unconsciously, to decrease conflict by increasing interdependence of nations.
By now, the reader is probably wondering about groups who don’t interact with each other, after all, it’s rather difficult to get into a fight if you never meet up with the other. This is a good point, and is accounted for by adding a third axis to the graph in figure 13, which is shown in Figure 14, Effect of Decrease Interaction. Labeled “Increasing Interaction” this third axis starts in the lower left corner of figure 14 where there is zero interaction between the groups, and as indicated by the graph, has zero probability of conflict even with a high cultural difference. Increased interaction is indicated by moving up the interaction scale, and as the interaction increases, the “Difference” curve increases in amplitude until reaching the curve of figure 13. There comes a point when increased interaction will have little effect on the probability of conflict.
As with any probabilistic system, you can’t make absolute judgements about the future. A high probability of conflict doesn’t automatically mean war will erupt, rather it means the environment is in a very unstable state in which some innocuous event can trigger conflict with little to no warning. A prime example is Beirut prior to 1975 Lebanon civil war, when Beirut was held out by many as an example of how different people could live and work together in peace, if they would just give peace a chance. It was like a large shelf of snow, an unstable situation where a small event could precipitate an avalanche, and that is exactly what happened. War flashed through the city and tore it apart at unbelievable speed . . . much to the surprise of a lot of people! While the cultural difference was high, and there was some amount of interdependence, but it was still an unstable environment. Even though the group system had been in equilibrium for many years, it took surprisingly little to trigger the environment into war.
The same situation occurred with the Japanese in China during the late 1930's. There was a high cultural difference with some interdependence between the western nations, but high dependence of the Japanese on China (Japan needed natural resources). For several years, the environment was highly unstable with several
Figure 15 Environmentoutbreaks of violence occurring, but nothing was done as the environment became increasingly unstable. The major factor that made it unstable was a refusal of the Japanese to make any effort to defuse the situation. We will discuss this more in the next section after we have learned more about the theory of war.
One point we need to briefly examine in some more detail, is that culture is the software of a society or human macro organism. As we said previously, it’s this software that makes the macro organism, just as with the software making the computer into different machines. The machine is really the software! That’s the power of software base systems . . . you can quickly change the machine to do a new job, or more precisely, to adapt to changes in the environment. As we said earlier, technology is the skeleton of a culture. Whenever I say that, people immediately disagree, and I then ask, “Is culture a constant, or does it change”? Even the most cursory observation shows that culture does indeed change. Our culture today is far different from the culture of the Civil War era, and the principal driver of that change has been technology. Communications most certainly has caused great changes in our world, our beliefs and our values. The birth control pill caused profound changes in culture and attitudes in a very short time.
The forcing function for culture is and has always been the introduction of new technologies. The domestication of livestock (goats, sheep, cattle and horses) resulted in tremendous changes to the basics of how humanity lived. The same with the introduction of sedimentary agriculture in the golden crescent and China. More tremendous changes of culture, or maybe more precisely, the creation of whole new cultures that differed radially from the ones they grew out of (from new technologies) . . . or did the old culture just die out? The point is, in my hypothesis for Cultural Difference versus the Probability of Conflict, the horizontal axis of “Measure of Cultural Difference” (remember the “Dependency” is a second axis superimposed) is a result of technology. Indeed, technology is such a significant part of the Cultural Difference, that the horizontal axis could probably be considered “Difference in Levels of Technology”, it’s that important in driving conflict. As we will see later, this difference in levels of technology is so important because it tends to set the direction that people want to go in, and that in turn, causes stress as people pull against each other trying to go in different directions.
4) The Components of Conflict -
Having a better idea of how conflict occurs, lets now look at some of the basic components that go into the starting of conflict. Let’s start by looking at the environment where people live as groups, not in the ecology way that the word “environment” is commonly associated, but rather the circumstances, objects and conditions by which groups of people are surrounded. We represent this environment by the area marked a-b-c-d in Figure 15, Environment, and again use Venn diagrams to represent human macro organisms in that environment. The upper diagram outlined with the solid line, represents the Gamma (Γ) people, while the lower diagram outlined with the dotted line, represents the Omega (Ω) people. The shaded areas of the interweave between the two diagrams represent the degree of interaction of the two human macro organisms.
Now let’s apply what we’ve learned from our discussion of the Lyman hypophysis of Figure 13, Probability of Conflict, and Figure 14, Effect of Decrease Interaction. This hypophysis defines the stress of the environment in figure 15, the stress between the Gamma and Omega people. As shown by the shaded area, there is a fair amount of interaction between the two macro organisms so the probability (amount of stress) is a function of the cultural difference (predominately technology) between the two peoples. But the stress between the two peoples is not just the probability of conflict. Another major source of stress is competition for resources.
Competition for Resources: Just like any other animal species, there is competition between human macro organisms for resources . . . food for most animal species, many times also for human macro organisms, but human societies often have need for other resources . . . like oil! When the supply of one or more resource becomes limited, the competition for a resource can become intense, which becomes a source of stress for the Gamma and Omega people. And this limiting of a resource doesn’t have to be a physical scarcity, just not being readily able to acquire the resource, such as, insufficient money (either quantity or value).
The resource need not be a physical or tangible resource. Psychological needs can be just as important for humans, either individuals or macro organisms, as things like gold, oil or land. This is particularly true with individuals, as exhibited in an acrimonious divorce, but can be a big factor with macro organisms. A prime example is Germany after World War I, where growing national resentment of their defeat, the loss of territory/colonies and the terms of the Versailles Treaty provided a very fertile ground for the Nazis to take root and grow. The Nazis, in turn cultivated the national emotions (the macro organism) to further bring the masses under their control and take events where they wanted them, which cumulated in World War II.
Remembering the horrors and loses of World War I, the French were not collectively emotionally prepared to go to war when World War II erupted in Poland. Today, most people don’t realize that France marched into Germany when war was declared, but inexplicitly marched right back out. This was at a time when Germany, then wholly engaged in the Poland campaign, was most vulnerable. If France had had the will, World War II could have been nipped in the bud. Not being emotionally prepared on the macro scale, France (and Britain too) fought a lackluster campaign. Only after the pain of defeat did the national emotions turn to fight, but for France it was too late. Britain, with the English Channel to protect her, had the respite to press the new national emotions to fight into action that won her the Battle of Britain.
Competition for resources counts as an interaction between macro organisms, even if there is absolutely no other form of interaction. The competition can be more than enough to cause a war. This is particularly true for critically needed resources such as energy, food or oil. When the need of a resource leaves an organism feeling backed into a corner, desperation comes into play, which can make the environment explosive. It should be noted that on the international scene, nations are continually in competition for resources.
Stressed Environment: Figure 13, Probability of Conflict, is the principle dimension in the stress of the environment of Figure 15, Environment. The probability of conflict indicates the degree of stress between the Gamma and Omega people. The competition for a resource, or more commonly several resources, also creates stress between the two people as they struggle to fill their needs for resources. But if the cultural difference is low, then the two people will tend to work together to find reasonable solutions to stresses from resource competition. As that cultural difference increases, trying to work out a mutually agreeable solution to the resource competition becomes more difficult, indeed, a high cultural difference will become a major obstacle to finding a reasonable peaceful solution to resource problems.
A classical example is Japan in China in the mid to late 1930's, where America was pressuring Japan to moderate her aggression against the Chinese. The cultural difference between Japan and America was very large, which created a stress environment and friction, that in turn made for a very combative environment where little diplomatic progress could be made. Japan, as an island nation, had very limited natural resources and so was seeking colonies which could serve as sources for those resources, and China was her main colony to be. There was little interdependence between America and Japan, so there was little counterpoise to reduce the probability of conflict. Japan did depend on America for almost all her oil needs, but America had very little dependency on Japan, and since the dependency was one sided, it didn’t count for reducing the probability of conflict.
Despite concerted efforts to find a diplomatic solution that would give some protection to China, Japan continued her aggressive action, to take over all of China. With no real effort by Japan to resolve the stressed environment, events continued to spiral out of control until Japan met with complete and total destruction. An important additional ingredient that further stressed the environment was competition for an emotional resource. Japan wanted to be recognized as a world power equal with western nations, and this desire drove the Japanese to be far less cooperative in negotiations . . . incentive to find viable solutions were negated by this want to be powerful and to not appear to be submitting to the western powers, in particular America.
When the probability of conflict is high, mixed with competition for resources, the environment becomes highly stressed, and unless all parties are making a very concerted effort to resolve issues and avoid conflict, the environment will most likely slide into actual war. Just like a bus rolling down the hill, if someone doesn’t get in the driver’s seat and make a concerted effort to steer the bus around the curves, it will most likely careen off the road and down into disaster.
Referring back again to Figure 13, Probability of Conflict, the inflection points, marked “a” and “b”, delineates a region of instability, where the probability of conflict can very quickly shoot up with just a little accentuation of cultural difference. This unstable region between “a” and “b” is where the environment can
Figure 16 Environment with Catastrophereside for years and years, with people being lulled into believing there isn’t any problem to worry about, until an external event, which accentuates cultural difference, causing the probability to quickly shift upwards. The environment can become very dangerous so quickly, that no one realizes the situation in time enough to try and avoid conflict. Such was the case with Beirut.
The stressed environment is not the cause for war, rather it provides an environment conducive for war to occur. Other forces are at work to cause the environment to erupt into open conflict. These forces, or events are important components of conflict, which we will now explore.
Precursor Events: War doesn’t just happen, like any other system, the environment will remain static without external forces causing change to occur. These forces are events which occur, which can often be external to the macro organisms, that continually push the environment closer to war. In Figure 15, Environment, we illustrated the environment as a linear flat plane, but a more illustrative representation might be something like Figure 16 (next page), Environment With Catastrophe, which has a precipice in its surface. The fall over the precipice represents the triggering of open conflict . . . war! In figure 16, the precipice is the sharply dropping ridge running from the bottom left to the top right. On the edge of the precipice is our Venn diagram of the Gamma and Omega people, represented by the Γ-Ω plot (Γ people are the light area and Ω people are the dark area). So how did the Γ-Ω plot get to the edge of the precipice? Well, if the vertical axis
Figure 17 Complex Interactive
System with Multiple Feedbackof the complex plane in figure 16 represents the probability of conflict, and the rising slope on the left is the probability of conflict increasing because of external events, then these events will push the probability of conflict higher.
These external events are called precursor events, and are represented by the arrows labeled “a”, “b” and “c”. Each of the precursor events causes the cultural difference to be accentuated or magnified, and thus causes the probability of conflict to further increase . . . to push the Γ-Ω plot further up the slope toward the precipice edge. At the time these events occur, there is often little notice of their occurrence, let alone being another push toward the precipice of war. Such realization only comes after the fact, when historians have the time and remoteness to dispassionately analyze what caused the war. This is the problem when dealing with any complex, interactive system with multiple paths of feedback. It doesn’t take a very complex system before predicting the impact of an input (precursor event) becomes impossible. This is a variation of chaos theory where a small perturbation of the initial conditions can have a massive effect on the output or result. This is a common characteristic of a complex interactive system, and the human macro organism definitely constitutes a complex interactive system with multiple feedback paths.
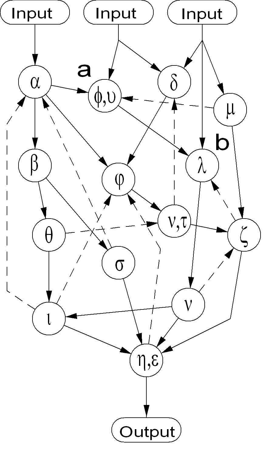
Figure 17, Complex Interactive System with Multiple Feedback (next page), illustrates a small interactive system. Inputs are where the forcing functions enter the system. Each circle represents a function or process, each having a different function as represented by the Greek letters. Some processes have multiple functions, being able to make decisions on which function is to use based on its input. Inputs to a process are represented by solid lines and feedback is represented by dash lines, while arrow heads indicated direction of information flow. For instance, process “a” has two inputs and a feedback coming into it. Based on these three sources of information, process “a” decides to use either the φ or the ν functions and derived a result of the three sources, which is then passed to process “b” which uses this as one of its sources to repeat the process using function λ on another input and feedback to give an output for another process.
Even with this simple system it would be difficult to predict the final result of the output at the bottom, and this is assuming we can accurately know each of the functions in each of the processes. Now imagine a nation’s economy which has tens of thousands of these individual process nodes (businesses) and even more information and feedback paths. With each of the functions, now the decision making process is composed of a multiple of managers (business management), so now it’s impossible to accurately know what the function exactly is. The diagram of such an economic system would easily cover a large wall. For a central government office to try and control such a system is absurd! It can’t be done! That’s why all centrally controlled economies have been dismal failures. Complex interactive systems must use distributed control systems, that is, have controls as part of their process functions, in order to operate effectively and efficiently. That is what is met by the free market system . . . using the distributed control system to control an otherwise uncontrollable system.
Although we illustrate only three precursor events, each pushing in the same direction in figure 16, in reality there are usually many precursor events, some moving just a small amount, some moving significant amounts. Additionally, the direction of movement from individual precursor events may not all be in the same direction. Some events may push directly up the surface slope as illustrated by a thru c in figure 16, but other events may push more sideways so the event doesn’t increase the probability of conflict by much, and therefore isn’t readily recognized as a precursor event. Nevertheless, the sum of many such “zig-zags” can significantly push the Γ-Ω plot up the slope toward the precipice edge.
Again returning to the example of Japan in China prior to World War II, there are numerous precursor events to use as examples, of which we will put forth just five. The Marco Polo incident 15\ p84 in 1937 is considered a major event that ultimately leads to war between Japan and America, indeed many mark this event as the start of World War II, instead of Germany’s attack on Poland in 1939. This event started the armed combat between China and Japan, with America supporting the plight of China as Japan pursued her expansion policy to gain her own sources of resources. This precursor event significantly raised the stress level between Japan and America, which was already becoming stressed from precursor events going back almost twenty years.
The Washington Conference of 1921-22 26\ p27-32, which resulted in setting limits on the fleet size of American, British and Japan where Japan was limited to a Navy 60% the size of America and British was a precursor event. The reason for these proportions was Britain and America had to maintain two navies, one in the Atlantic the other in the Pacific, while Japan was only in the Pacific. Nevertheless, many Japanese grew to resent this limit, considering it a fundamental limit on their position (desire) to be a world power. Thus, this perceived slight is an example of a competition for an emotional resource, even though few if any Americans were aware of this competition.
Another example of an emotional resource was a result of the 1924 immigration limits (Johnson-Reed Act) into America, which severally limited the number of Japanese who could immigrate. Since 1900, there was growing demand for baring immigration of Japanese into America 20\ p37-9. The Japanese, a very prideful race, was very much offended by such an American law, never mind that no American was ever allowed to immigrate (gain citizenship) in Japan. These two events instilled a deep resentment in the Japanese which later would translate into some of the most savage and barbaric acts ever inflicted on one modern people by another.
A third example is a precursor event that doesn’t even seem like an event. Japan’s perception of American society was gleaned mostly from imported films and translated popular publicans, often photo magazines, which portrayed Americans as an un regimented society, whose people were soft, weak, decadent and concerned only with playing and having fun. A people who were undiscipline and un focus that could not or would not fight. With an inaccurate and distorted picture of what their enemy was, and more importantly what they would do if confronted with war, Japan set a course of actions which ultimate lead to her destruction.
The infamous Rape of Nanking 25: was a major precursory event that may well have been the point of inflection a-b in figure 13, where the environment became unstable. As reports of the massive atrocities against Chinese civilians (men, women and children) became common across the United States and the world, public opinion hardened and turned against the Japanese, paving the way for other precursor events to have more effect. This is the point where the Venn diagrams of macro organisms reached the precipice of figure 16. The Japanese reaction to world pressure for moderation and withdrawal from China hardened and they became indifferent to the rest of the world. Thus, the ability to defuse the situation became near impossible, for Japan simply wouldn’t listen to others on the world scene.
The fifth event was an external precursor event of Germany’s defeat of France. Japan long had an envious eye on France’s colony of Indochina (Vietnam), and with France now controlled by Germany, there wasn’t anyone to say no. Japan told French troops in Indochina they were taking over, and without a government to support them, the French colonist could only stand aside and watch Japanese troops arrive and take over as the new masters. The unrelated event of Germany removing France from the world power scene, allowed another precursor event of Japan taking over Indochina, which as we will see in the next section, brought on what most would consider the precipitant event of American embargoing Japan’s oil.
Finally, some events can have a damping effect or something of a negative precursor event that can lower the stress level. In July 1938 33\ p4 Japan and Russian clashed on the Manchuria border in which Russian soundly thrashed the Japanese forces. Previously, Japan’s army had fought poorly trained and equipped third world armies such as the Chinese Nationalist and Communist, so it was a shock for Japan on meeting a modern army. Japan then knew she could have a rough time in war with other modern nations such as Britain or America. If it wasn’t for the third precursor event described above (softness and unwarlike Americans), then this negative precursor event might have had a much more sobering or damping effect.
Precipitant Event: The precipitant event is the event that finally pushes the macro organisms (Venn diagram of figure 16) over the precipice into war. This isn’t necessary the actual outbreak of war, but rather the point where the slide into active combat is no longer irreversible, where control has been lost and armed military action is unavoidable. In our example with Japan, many would consider their attack on Pearl Harbor as the precipitant event for war with America. However, the almost immediate oil embargo by America in response to Japan’s moving into French Indochina in 22 September 1940 20\ p194 set the wheels into motion for war. With no war to conduct, Japan only had at most a two-year supply of oil 20\ p214, oil that was needed for the navy and army to operate was now limited to those stores within Japan. Admiral Yamamoto, knowing the specifics of Japan’s oil situation, knew that once the oil was cut off, Japan had only four months 20\ p207 to start military operations if there was to be enough oil to take the oil fields in Dutch East Indies. Once those reserves were gone, Japan would be disarmed and unable to take any military action against America.
It was now or never– start the war and take the oil in Dutch East Indies or surrender to the Americans . . . and with the rampant racism in Japan against whites (as well as all other races), there was no way that was going to happen. For Japan, there was only one option– war, pure and simple! President Roosevelt didn’t want war with Japan, at least not right then, because he was desperate to fight Germany and save Britain. And contrary to popular history, the Tripartite Pact would only bring Germany to war with America if America attacked Japan, not the other way around, so war with Japan would probably mean not being able to save Britain against Germany.
The issue of oil was the precipice to fall down into war. Although the oil embargo didn’t immediately start the shooting, Japan had to carefully plan and act decisively, because with her dimensioning oil reserves, it would be a one-shot affair. If met with initial failure and Japan didn’t immediately gain the oil fields in the Dutch East Indies, then it was unlikely she would get a second chance before she ran out of oil and would be like a fish out of water. Unable to fight on without the oil, it would just be a matter of time before Japan was finished.
How about if President Roosevelt and the State Department had realized they were pushing too hard and had recanted the embargo? Well, that would have been seen as a major weakness, and for years, the Japanese had interpreted signs of weakness as confirmation that America wasn’t a serious military adversary. Indeed, the basic premise of Japan’s war plan was a good hard initial defeat at the start, would demoralize Americans to the point that in just a few months, we would be willing to seek peace and leave Asia to the Japanese. Such a major show of weakness would most likely have encouraged the Japan in further military adventures.
Having had her oil cut off once, the Japanese would be scared of the embargo being reinstated at any time, and with their premise reinforced that military action would be met with little resolve, Japan would have had little reason not to continue with war as planned . . . after all, there were more resources than just oil to be gained by their planned conquest. No, once the oil had been cut off, there isn’t any real reason to suppose the Japanese wouldn’t have pursued war to gain the empire she had so long craved. Cutting off the oil to Japan was the precipitates event that pushed Japan and America over the precipice into war, where no action could reasonable have halted the slide into actual military combat operations.
As for the attack on Pearl Harbor, in actuality the Pearl Harbor attack was in support of other co-ordinated Japanese attacks on Malaya, Thailand and the Philippines, all of which were underway before the bombs started falling on Pearl Harbor. American intelligence had been tracking the invasion fleets as they inched their way south, which is one reason for the surprise of Pearl Harbor . . . it was assumed the carriers used in the attack, was with these invasion fleets. If the Pearl Harbor attack had been discovered and surprise lost, it is very doubtful that cancellation of this support operation would have prevented the war. Many of Japans high generals and admirals were against the attack and wanted it canceled because they feared it was too risky and the resources were needed for those invasions.
Now we’ve spent a lot of time on the example of American and Japanese war, to show how complex and difficult it is to determine
Figure 18 Measuring of Warprecursor events and which event is the real precipitates event for war. Even after these many years to study, plus the declassifying of much historical information in archives, historians are still debating what the precipitates event was. Determining what is precursor events and ranking them in their influence, and determining which was the precipitates event is very difficult in hindsight, let alone when immersed in the fog of war (pre war?), then trying to control events to avoid war. It’s just too complex to do effectively and reliably, and those who claim to do so should be view with great scepticism.
Measurements of Conflict: Human conflict and war very greatly in size. This becomes evident when comparing America in World War II to any other war or battle. There has never been a war so large before or after, and not just for America, but all the major nations on both sides. In terms of number of soldiers, the area covered, the amount of supplies and munitions . . . it was a conflict unprecedented in every way you look it, in every possible dimension. War is about resources– from the small skirmish to the great battles of World War II, some amount of resources is needed to conduct war. In general, the more resources available to one side to wage war, the higher probability of that side winning. Therefore, the amount of resources with which a group or nation can draw upon is a very important factor in determining the outcome of conflict.
Resources might therefore be a reasonable measure of war, the more resources being expended, the larger the war. But this doesn’t seem quite enough to measure war, for instance, both the Korean and Vietnam wars expended more resources than the American Civil War, yet the Civil War seems much bigger than either of the other wars, much more . . . intense. Looking closer, we see that while the Korean and Vietnam wars expended large quantities of resources, when compared with the total resources America had available, only a small portion of those resources was being applied to the wars. However, in the Civil War, the Nation was putting almost its full effort into the struggle (both North and South), applying a very significant portion of available resources.
The other dimension then is how much resources are being used with respect to the resources available. That’s the intensity, the percent of an organism’s resources being used with respect to what that organism has. This is illustrated in Figure 18, Measuring War, where Magnitude (horizontal axis) is the total amount of resources being expended on a conflict, and Intensity (vertical axis) are the percent of available resources being expended. So an organism, such as a single cell being attacked by a virus, will have very little resources, almost minuscule compared to a nation, but nevertheless some amount of resources to try and battle its takeover by the virus. With its life at stake, this cell will use every bit of its available resources trying to ward off the virus attack, therefore conflicts between the cell and virus would have a high intensity, yet an extremely low magnitude. Looking at the graph of figure 18 we see mark “●” with the label “Virus-Cell” in the upper left of the graph. Being near the origin horizontally indicates a very small magnitude of resources, but being located near the top vertically indicates a high intensity.
Marked by “□” on the upper right side of the graph is America in World War II. Like the cell-virus, America was applying almost all her available resources to the conflict, either directly or indirectly, and therefore is on the same vertical level as the cell-virus. However, the amount of resources being expended is many orders of magnitudes greater than the amount expended by the cell, so it’s located at the extreme right of the graph. Orders of magnitude would indicate the Magnitude (horizontal) scale would be logarithmic (scale is powers of ten) and since the Intensity is a percent, it would be a linear scale.
For the American Civil War “■” the magnitude isn’t near as high as World War II, simply because the industrial output of America was just a fraction of what it was in World War II, and so it is located at a much lower magnitude than World War II, yet is still much higher than the cell-virus, and while the intensity of the Civil War was high, it is lower than World War II. America during the Civil War wasn’t using all available resources, there wasn’t any rationing or restrictions on consumer goods and not all able bodied men were drafted into the service. Draftees could hire a replacement.
An interesting case of war dimensions is the Plains Indian wars of 1860 to 1900. The American army was engaged against a number of different tribes of the Native Americans living on the plains (Mississippi River west to Rocky Mountains). For America, marked “◆ Plains War, Army” a significant amount of resources were expended, but nothing compared with resources expended in the Civil War, World War II or Korea and Vietnam. Also, the intensity was very low as little of the available resources was being used to combat the Indians. For the Indians, marked “❍ Plains War, Indians”, shows the Plains Indians were using very little resources in the fight for their survival simply because with no industrial base– they had almost nothing. But they used almost everything they could spare from subsistence, so the intensity is high.
Note how the two adversaries are diametrically opposed in dimensions. The American army was high magnitude - low intensity while the Plains Indians were low magnitude - high intensity. For war, in particular modern war, the magnitude is the important dimension, because like the corollary of war in Modern Epoch in this section “Modern wars are fought and won or lost in the factories”, which means in modern wars it’s having the resources that really count.
The two diametrically opposed points of the Plains Indian Wars would be the same for domestic insurrection where the insurrectionist will have a low magnitude, but a high intensity while the entrenched government would have a low intensity with a high magnitude with respect to the insurrectionist. That’s the characteristic of modern insurrections, the entrenched government must spend more than an order of magnitude in resources more the insurrectionist, for a period that usually span many years before persevering.
These are the two predominate dimensions of war and though we made no effort to quantify these two dimensions for any examples, they most likely can be measure and hence wars can be measured and thereby compared with others. The main concern is what units to use for measuring the magnitude, for while money or gross national product may be used with nations, it’s more than difficult for something like a hunter-gather tribe or a cell and virus.
Accelerants of Conflict: One apparently common source of conflict is race. Actually, if we look a little closer, we see it’s
Figure 19 Social
Mitosisthings like race, ethnic, religion, language and other differences that are less apparent, but still are significant factors in human conflicts. But are these precipitants of conflict? How do these factors enter into human conflict, either as individuals or macro organisms?
Actually, these factors are more like accelerants in a fire. They serve to accelerate the rate that a fire propagates or spreads, so when everything is else is equal, adding an accelerant will make the environment more volatile. Like combustible materials, adding an accelerant severs to make those materials more susceptible to ignition, and also causes it to spread and burn more quickly. The same with people and human macro organisms. Adding an accelerant like race, ethnic, religion and/or language, will increase the stress of the environment, making it more volatile and susceptible to exploding into conflict. Accelerants makes the probability of conflict more unstable, and vulnerable to what might have been a precursor event becoming the precipitates event. Furthermore, the more readily identifiable an accelerant, the more volatile it is, so something like race (real race, not the nonsense of the Nazis) which is so apparent, can be very volatile like gasoline, while something like religion which often isn’t as obvious, may be more like an oil or maybe kerosene.
Eliminating an acclerant will not remove the possibility of conflict, it really isn’t the forcing function, not taking into account the level of technology which is the principal factor in cultural difference, so trying to eliminate a given acclerant, if possible, will not prevent conflict from developing. The major components are cultural difference, driven by the technology difference and the interdependence.
5) Social Mitosis and Civil Wars -
Civil wars are found across all three epochs of war and most likely have been occurring before written history. People who start as one, for some reason or reasons, pull apart to become separate peoples, much like a cell will start to pull apart and finally rupture into two separate cells. The same happens with macro organisms where forces cause a group (human macro organism) to start pulling away from each other, more tension building, until finally the macro organism splits to become two separate groups or macro organism– and this process is called social mitosis.
Figure 19, Social Mitosis (next page), graphically illustrates the process of social mitosis as stages from a to e, again using our Venn diagrams. In the first stage at the top, labeled “a”, we have the α (alpha) people. Like any other group of people, there are various differences running through the society or macro organism that may or may not be very apparent, but for the most part, the people consider themselves as one whole people. This is illustrated by Figure 12, Composite Culture which shows how a culture is composed of a number of over lapping subcultures, some having commonality with some subculture but not others. As time goes on, external forces start to polarize the people, often causing subgroups to want to go in different directions. Diagram “b” shows this polarization process with two subgroups forming, the αΓ (alpha sub gamma) people forming to the left and the αΩ (alpha sub omega) people forming to the right. This tends to be a slow drifting process, and is often imperceptible to the people while it is happening, but they are still one people acting largely as one, There is still a high degree of identification and empathy between individuals. Referring to Figure 13, Probability of Conflict again, the cultural difference is low and in general their dependency is relatively high, so there is still little conflict or friction. The probability of conflict is still in the stable region before “a” on the Difference curve.
In diagram “c”, the people are now pulling apart with the people becoming more identifiable as subgroups, now with the two groups as the Γα (gamma sub alpha) people to the left and the Ωα (omega sub alpha) people on the right. There is still significant identification and empathy as the α people, but now there are also significant identification and empathy within the Γ and Ω subgroups as these groups continue to pull apart under the influence of the external forces. More and more, the subgroups want to go in different directions, so there is more strain building between the subgroups. This strain causes more pure α people to become polarized themselves and they gravitate toward one or the other subgroups, causing that group to grow, which in turn causes higher stresses. On the Probability of Conflict diagram of figure 13, with the cultural difference now starting to develop, the probability of conflict starts to move on the Difference curve toward “a”, but is still in the stable region. Interdependence is usually still significant, so the probability of conflict is held in check. Friction incidents between the two subgroups become more frequent, but are usually not severe.
Going to diagram “d” we see that now the Γ and Ω people are almost fully formed and identifiable, so the cultural difference is now becoming significant and the probability of conflict moves into the unstable “a - b” region of the curve in figure 13. Now being unstable, a precursor event can cause the probability of conflict to quickly shift up. Now is when a high interdependence is required to prevent rupture and open conflict. Precursor events cause a continual increase in the stress between the two people as they now strain to go their separate ways. The identification and empathy are now very diminished, and only if the interdependence is high, will this system remain stable. Additionally, if the interdependence remains high, then this stage can go on for many years. This is the time when friction events occur more frequently between individuals of the two groups, and now with low identification and empathy between the groups, these friction events become more serious and are not as quickly forgotten. .
Finally, in stage “e” rupture occurs and the Γ and Ω people separate into two separate and distinct people. This rupture usually occurs as a violent event with the two people in some sort of an insurrection or rebellion. The two macro organisms quickly separate and distance themselves with identification and empathy between the groups becoming very low. This environment is conducive for the kind of savagely and brutal war that is so often characteristic of insurrections and civil wars.
Social mitosis is the prelude to civil war or insurrection, simply because before you can have a war, you’ve got to have at least two (takes two to tango!). Once social mitosis has occurred, with two separate and distinct people created, the environment is then the same as with two separate nations. It’s that final rupture that is so often a problem, for that rupture, as often as not, is created by violence. The two new societies or macro organisms (Γ and Ω people) are already at war, and once war has started, it’s almost impossible to stop it from running its course.
That’s how it was with the American Civil War. Even before the signing of the Declaration of Independence, there were stresses between the different states, which showed up during the writing of the Articles of Confederation, and later in the writing of the Constitution. These differences polarized geographically into the Northen and Southern states, where the Southern states had gained considerable power because of wealth from large plantations, first with tobacco and later with cotton. With the start of the 19th century, the Northen states started into the industrial revolution, and as factories increased in both numbers and output, the North started to gain wealth and power, which in turn diminished the South’s power. The two people wanted to go in different directions, the North to industrialize which met America having closed markets where those industries could sell their products, and the South wanted open markets so she could sell her tobacco and cotton at high prices and import manufactured products from England.
This is where slavery came into the equation. The South had to have slavery if she was to have the large plantations with the wealth and power, while the North didn’t want slavery because they were afraid that slaves might displace all the new good paying jobs in industry. Slavery was about power, pure and simple, and whenever you want someone to give up power, you’re playing with explosive stuff! The struggle, before and then after war erupted, was which way America was to go, industrial or agrarian, which in turn met which group was going to have the power. Even with slavery, the Southern states were already seeing their power and influence diminish, so even if slavery was not an issue great forces were still at work pulling the two people apart . . . social mitosis.
Looking at Figure 19, Social Mitosis, we see the process of mitosis happening with America in stages a thru e. Starting with stage a during the start of our nation we see a fairly homogeneous people during the creation of the government. In stage b, with self governing and therefore the ability to choose their own direction, started the polarization process. The introduction of the industrial revolution provided the external event which started to create the two separate distinct people, and as industrialization increased the North’s power, the strain became very apparent at stage c. So by the 1850's stage d was reached with considerable friction such as John Brown’s raid on Harpers Ferry, attacks by congressmen on each other with many carrying weapons into the chambers and open talk of cessation. Left unchecked, the stresses continued to pull the North and South apart until full rupture occurred with stage e, the attack on Fort Sumter in 1861.
As the North became more industrialized, the people becoming more technologically advance, the technology was causing the cultural difference to increase, and that in turn increased the probability of conflict. Additionally, the interdependence was also diminishing, since the South was still able to get manufactured goods from England. The new communications technology of telegraph, mail, railroad and steam boats increased interaction between the North and South. In short, there were fewer and fewer factors to counter the increasing cultural difference, to act as a counterpoise to hold the probability of conflict in check.
In this stressed environment there was strong competition for resources, for wealth and subsequent power. With power the most sought after resource in humanity, there was such a strong force at work that by stage d and even stage c, it was probably too late to reverse the march toward war. When one of the previously discussed accelerants in section 4 is added, as might be expected, the process of social mitosis greatly accelerates as well as leaving a more volatile environment after mitosis is completed.
One final note for those readers who watch Bill O’Reilly’s “The O’Reilly Factor” on the Fox News Channel, for he frequently has a show segment called the cultural warriors. In this segment the conservative position challenges many of the actions and positions of liberals and counter culture, in trying to institute social change to society’s norms. What he and most viewers have failed to appreciate is what they are really looking at is social splintering, the prelude (stage a) or initial separation phase of social mitosis. As we have just learned, the only thing needed are forces which will pull those cultures further apart making for a dangerous environment.
6) Technology and War:
Technology is often the force which makes people try to go in different directions, creating stress which results in conflict. The American Civil War wasn’t the only example by far. The Native Americans are a prime example where technology was a principal factor in not only creating a wide difference in culture, but actually acting to drive the conflict. This process is on going today in the Middle East and is the principal factor in our ongoing war on terrorism in Iraq and Afghanistan. Displacement of people by technology manifest itself by one people who are more advanced technologically, displacing people of a lower technology. We express this tendency as a general rule of warfare.
A Corollary of War
A technologically advance people will displace a lesser people.
This corollary doesn’t just apply to very primitive people such as the Native Americans in the 19th century, but very much applies today. As we saw in Chapter IV, How to Make Obsolete People, this process is happening now, that’s the heart of technology displacement. The homesteaders, with their early 19th century agriculture technology, who displaced the Plains Indians, were in turn displaced in just one generation by the big wheat spreads with their late 19th century technology 31\ p336. It’s not about racism or culture, technology displacement is a continual process that affects everyone in the modern world. It isn’t just machines replacing people, it’s the people who know and understand the machines (technology) who are displacing those who don’t. This isn’t too much of a problem, as long as there are acceptable places for the displaced to willingly go, or rather mostly willingly. This is what has been happening in American society since the early seventies. Technology, or more precisely the more advanced technological people, has displaced others, who in turn have gone into new segments of the economy. For almost forty years, this process has been able to continue, with relatively little conflict, but nevertheless, polarization has continued to grow unnoticed by most.
We tend to focus on the visible differences between people instead of the underlining or real difference, much like looking at the paint job and customizing on an automobile, instead of the suspension and drive train. The exterior of a house and accompanying landscaping instead of the plumbing, heating and air conditioning, lighting and wether the roof leaks when it rains. Fashions– looking and judging people by what they wear, their jewelry and makeup instead of their intentions, character, personality and honesty. In looking superficially at our society, we miss the important factors which are taking us wherever we are going . . . and missing just where that final destination may be.
7) Some Important Threads in the Fabric of Society -
One important factor that must be considered in the development of war is the basic forces of human society. In order for a social system to successfully function, there are several factors that make up what we will call the fabric of society. These factors are akin to threads in a fabric, and we will take a moment here to discuss some of the important threads of that fabric, as they apply to human conflict and hence war. These factors or threads can have a very profound influence on the course events will take and the ultimate consequence.
Contributor to Society- There is a basic desire or need to be a contributor in a society. We each want to be perceived by others as a contributor, to be recognized for being an asset and of some use to our social group. The continual displacement of people by technology is making it more difficult for people to satisfy this basic need. After all, if your real value to society is just as a consumer, then just how much real value are you to society? Many who have gone to college, who have earned a degree with little or no mathematics and science, who suppose themselves to be educated and having value in society, find themselves facing difficulty with underemployment, find themselves struggling to cope with this important tread in social fabric.
Adversity- When events bring adversity to people it draws them together as a social unit. It hardens the boundary of the macro organism, as that macro organism (society) struggles to overcome the trouble or problem. After some disaster has pasted, such as a tornado, hurricane or earthquake, I’ve often heard people say on news reports or documentaries how wonderful it was the way people came together to help one and another. They wonder why people come together when things are tough, but not when things are going good and easy. That’s the adversity thread they are looking at. That natural tendency for a macro organism to draw together for mutual support in times of need. But this state cannot be continuously held without a threatening force to hold it. We don’t do it consciously or by rational decision, but rather it’s an external force of which causes the contraction.
One important fact or consideration is this thread will bring coalescence to splinter groups of people, thus causing them to solidify into new macro organisms. Adversity can act as a precursor event.
Social Conformity- A society continually seeks conformity of its individuals to the social norms. The conformity starts when individuals are very young, as the basic software of society is impressed on them with parents naturally being very conscience to make sure their children get it right. But then when the children reach their teens, they not only become naturally rebellious, but society in turn allows a fair amount of rebellion. Allowing the young adults this time of natural rebellion is an important ingredient for the evolution of a human macro organism. It provides a means for that society to gradually adapt, change and improve, then as the young adults become more mature, the society can adopt those changes which are useful while dropping useless ones. However, too much change can be just as damaging as too little, so this time of allowing rebellion is rather limited, then society demands the mature adults to conform, particularly when they start to raise their own children. If not for this thread, the development of societies over the ages would have made substantially less progress.
Fear of the Unknown- All the higher order animals naturally fear what they don’t know. For humans, we also fear the unknown, but also fear what we don’t understand, or at lest what we consider we don’t understand. This is a natural carryover from our natural world when the unknown could present a real hazard, after all, if you don’t know what a rattlesnake is, it’s probably not a good idea to just pick up the first one you see. You want to approach it very carefully until you know what you’re dealing with. The same applies with understanding, or at least what we perceive as not understanding. In times past, people could feel they understood the world they lived in, by believing in sprits, deities and gods who reside within their world. Understanding was in the form of myths and legends which explained the world to them and left them with a sense of understanding. However, in recent years, ever more Americans have rejected a religious bases, considering that science has refuted such beliefs. But not having a solid knowledge of the sciences and mathematics, they have unwittingly left themselves void of any real understanding of the world surrounding them. Thus, they unknowingly leave themselves with a constant background feeling of fear. A low grade fear that’s not consciously there, but nevertheless slowly corrodes their being to leave a trouble life riddled with unexplained unhappiness.
Kinship- Group identity is the process of a human macro organism coagulating into a unit because each individual identifies with other members of that group and vice versa. Each individual considers themselves a member of the group because they are accepted by the other members. This kinship is a significant force in creating and maintaining a human macro organism. One important facet of kinship is exclusion, the tendency to automatically exclude or reject outsiders, and even be hostile toward an outsider, often without any apparent reason.
1) “The American Indian Wars”, John Tebbel, Keith Jennison, Castle Books, Book Sales Inc., 114 Northfield Avenue, Edison, NJ 08837
2) “The Ascent of Man”, J. Bronowski, Little, Brown and Company, Boston/Toronto, 1973
3) “Bit by Bit, An Illustrated History of Computers”, Stan Augarten, Ticknor & Fields, 52 Vanderbilt Avenue, New York, New York, 10017, 1894
4) “Bloody Sunday, How Michael Collins’s Agents Assassinated Britain’s Secret Service in Dublin on November 21, 1920", James Cleeson, The Lyons Press, PO Box 480, Guilford CT, 06437, 1962, 2004
5) “A Brief Overview of Modern Insurrection and Revolutionary Methodology, A Technology Monogram for Law Enforcement”, James C Lyman, Compass Rose Pub, San Antonio, Tx, 2010
6) “The Coming of the Third Reich”, Richard J. Evans, The Penguin Press, 375 Hudson Street, New York, New York, 10014, 2003
7) “Connections”, James Burke, Little, Brown and Company, Boston, 1978
8) “Crude, The Story of Oil”, Sonia Shah, Seven Stories Press, 140 Watts Street, New York, NY, 10013, 2004
9) “The Day the Universe Changed”, James Burke, Little Brown and Company, Boston, Toronto, 1985
10) “Encyclopaedia Britannica 2009 Ultimate Reference Suite DVD” (software package) Encyclopaedia Britannica Family Encyclopedia, Version: 2009.00.00.000000000, Doug Sale, Director, Michael I. Levy, executive Ed., Britannica, 331 N. LaSalle Street, Chicago, IL 60610, 2008
11) “The End of Cheap Oil”, Colin J. Campbell, Jean H. Laherre're, p78-83, Scientific American, March 1998, Scientific American Inc., 415 Madison Avenue, New York, N.Y. 10017-1111.12) “Engines of the Mind, A History of the Computer”, Joel Shurkin, W. W. Norton & Company, Inc., 500 Fifth Avenue, New York, N.Y., 10110, 1984
13) “The Entrepreneur’s Manual, Business Start-Ups, Spin-Offs, and Innovative Management”,Richard M. White, Jr., Chilton Book Vompany, Randor, Pennsylvania, 19089, 1977
14) “The German Generals Talk, Startling revelations from Hitler’s high command”, B. H. Liddell Hart, Quill Publishing, New York, 1948, 1979
15) “The Historical Encyclopedia of World War II, A comprehensive volume covering the people, places, and events of World War II”, ed.s Marcel Baudor, Henri Bernard, Hendrik Burgmans, Michael R. D. Foot, Hans-Adolf Jacobsen, Greenwich House, Distributed by Crown Publishers, Inc., New York, 1984
16) “Hold the Balkans!, German Antiguerrilla Operations in the Balkans, 1941-1944", Robert M. Kennedy, White Mane Books, White Mane Publishing Co. Inc., P.O. Box 152, Shippensburg, PA 17257-0152, 2000
17) “Hubbert’s Peak, The Impending World Oil Shortage”, Kenneth S. Deffeyes, Princeton University Press, 41 William Street, Princeton, New Jersey, 08540, 2001
18) “Indian Wars of the West”, Paul Wellman, Indian Head Books, ;New York, a division of Marboro Books Corp., 1992
19) “The Industrial Revolution in World History, second edition”, Peter N. Stearns, Westview Press, 5500 Central Avenue, Bolder, Colorado 80301-2877, 1998
20) “Japan’s War, The Great Pacific Conflict 1853 to 1952", Edwin P. Hoyt, McGraw-Hill Book Company, New York, St. Louis, San Francisco, 1986
21) “Mao Tse-Tung on Guerrilla Warfare”, BG Samuel B. Griffith, Praeger Publishers, 111 Fourth Avenue, New York, N.Y. 10003, 1961
22) “Michael Collins’s Intelligence War, The Struggle Between the British and the IRA 1919-1921", Michael T. Foy, Sutton Publishing Limited, Phoenix Mill, Thrupp Stroud Gloucestershire, GL5 2BU, 2006
23) “Michael Collins, The Man Who Made Ireland”, Tim Pat Coogan, Roberts Rinehart Publishers, 5455 Spine Road, Mezzanine West, Bolder, Colorado, 80301, 1992, 1996
24) “Pre-invasion Bombing Strategy, General Eisenhower’s Decision of March 25, 1944", W. W. Rostow, University of Texas Press, Box 7819, Austin, Texas 78712, 1981
25) “The Rape of Nanking, The Forgotten Holocaust of World War II”, Iris Chang, Basic Books, 10 East 53rd Street, New York, New York, 10022, 1997
26) “The Reluctant Admiral, Yamamoto and the Imperial Navy”, Hiroyuki Agawa, translated by John Bester, Kodansha International/USA Ltd., 114 Fifth Avenue, New York, New York 10011, 1979
27) “Resistance Fighter, Anti-Nazi Terror Tactics of the Austrian Underground”, Kurt Von Steiner, Paladin Press, P.O. Box 1307, Boulder CO 80306, 1986
28) “The Squad and the Intelligence Operations of Michael Collins”, T. Ryle Dwyer, Mercier Press, Douglas Village, Cork, 2005
29) “The Timetables of Technology, A Chronology of the Most Important People and Events in the History of Technology”, Bryan Bunch, Alexander Hellemans, Touchstone, Rockefeller Center, 1230 Avenue of the Americas, New York, New York, 10020, 1993
30) “Visions of a Flying Machine, The Wright Brothers and the Process of Invention”, Smithsonian History of Aviation Series, Peter L. Jakab, The Smithsonian Institution Press, Washington and London, 1990
31) “War Cries on Horseback, The Story of the Indian Wars of the Great Plains”, Stephen Longstreet, Modern Literary Editions Publishing Company, New York, N.Y., 1970
32) “Warfare in the Classical World, An illustrated encyclopedia of weapons, warriors and warfare in the ancient civilizations of Greece and Rome, From the rise of Mycenae to the decline of the Roman Empire 1600BC-AD800", John Warry, St Martin’s Press Inc., 175 5th Avenue, New York, 10010, 1980
33) “The World War II Desk Reference, with the Eisenhower Center for American Studies”, Douglas Brinkley director, Michael E. Haskew editor, A Grand Central Press, 27 West 24th Street, Suite 510, New York, New York 10010, 2004
34) “World War II, 4,139 Strange and Fascinating Facts”, Don McCombs, Fred L. Worth, Wings Books, div of Random House Value Publishing, Inc., 201 East 50th Street, New York, New Your, 10022, 1983
35) “The Wright Flyer, An Engineering Perspective”, National Air and Space Museum, Howard S. Wolko, ed, The Smithsonian Institution Press, Washington and London, 1987